OLED实际印刷制程中的生产效率问题分析
摘要:OLED实际印刷制程中的生产效率问题分析
随着印刷制程研发的逐渐走热,各家公司在SID 2017上均推出了各自的得意之作,比如BOE的印刷量子点和AUO的印刷高分辨屏幕像素排列方案。
可见不仅日本韩国台湾依托自己的工业能力逐步加大在印刷制程投资的同时,在国内十三五的政策推动下,国内厂商亦在印刷制程方向上紧步跟随。国内走在印刷打印产业化的领先公司是BOE和广东聚华印刷显示(CSOT+天马)。
在此宏观环境下,作者觉得有必要从印刷打印的原理对印刷生产效率进行无责任探讨。
本节主要完全从原理角度进行讨论,完全不涉及技术原理。而且理论和实际无疑的会存在很大的差异, 所以本节内容仅供参考。
作者个人认为影响DOD印刷工艺生产效率的因素可以简化为喷头横向移动速度和单次有效喷印面积两个点。
本节主要完全从原理角度, 从现有DOD压电陶瓷印刷技术与工艺来讨论其生产的可能性。理论和实际无疑的会存在一定的差异, 所以本节内容仅供参考。
影响DOD印刷工艺生产效率的因素有2个
•喷头横向移动速度(Printing Speed)。
•单次有效喷印面积(Effective Printing Area)。
喷头横向移动速度
影响喷头横向移动速度的因素为横向安全避让精度和喷头离基板距离。
横向安全避让距离可以考虑为喷头横向移动时, 为保证喷印墨滴落入Bank 结构中其出墨设定位置和Bank 边缘处的距离再加上打印机重复定位误差范围。
现在工业用打印机重复定位精度已可保证在1μm 左右,所以其横向安全避让距离可以考虑为出墨设定位置和Bank 边缘处安全距离。
出墨简易模型
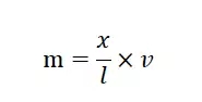
假设出墨速度为v, 而墨水到达基板时其理论位置和实际位置偏移量为x, 喷头离基板距离为l而喷头横向移动速度为m, 并且因为在印刷时喷头离基板距离很近, 可近似的认为墨滴垂直方向和横向移动为匀速运动过程。
则墨滴从喷头出墨并接触到基板时, 其横向移动距离x 为:
则可知喷头最大移动速度为:
当墨水出墨速度已知时, 可见喷头最大横向移动速度m 与l 成反比而和安全避让距离x 为正比。
为了提高生产效率, 则必须降低喷头和基板的距离或增大安全避让距离。若安全避让距离过大, 则有可能造成墨滴无法完全对底面进行有效浸润, 一般可以认为安全避让距离x 尺寸不应大于该墨滴在基板上形成圆形墨滴的半径。
单次有效印刷面积
打印时喷头的旋转
单次有效面积可以考虑极端的理想情况。
如果单个喷头中所有喷嘴出墨体积相同且均能完美出墨(不存在体积、角度或出墨速度上的差异), 且每个喷嘴在单向行程中只打印单列像素(不采用多喷头混合mixing 方式印刷来提高均一度)。
以Fujifilm Sapphire QS-256/10 AAA 喷头为例, 其总共喷头数为256, 且为了完全消除喷嘴之间的Cross talk, 相邻喷嘴之间距离为254 μm。该喷头距离远远大于相邻两子像素间距, 所以喷头必须结合基板的设计进行一定角度的旋转(Rotating Angle)。
假设印刷一个4:3 比例32 寸FHD 的RGB SBS 的OLED 电视, 其子像素尺寸不大于339 um × 151 μm (含BM 和TFT 区域)、喷墨速度为6 m/s、喷头离基板距离为1.5 mm 而横向安全避让距离为20 μm。
采用单一Fujifilm Sapphire QS-256/10 AAA 喷印。
则:
则32 寸单向印刷行程耗时为6.1 s。假设复位与再定位时间与单向行程一致, 则单次行程总时间为12.2 s。
同时假设每个喷嘴各对应一列像素,则喷头需要旋转的角度为:
且每次行程可以印刷256 个子像素。为了印刷完整个屏幕, 其需要走的行程数为:
因为行程为整数倍, 所以其需要走23 个行程。由此可见在单喷头印刷条件下完成整版印刷耗时为280.6 s, 约4.7 分钟。
可见对于印刷工艺而言, 如果RGB用相同的HIL和HTL(相同材料且厚度相同), 则单层印刷时间约为5 min。其后根据HIL和HTL材料所使用材料的不同,可以需要进行VD与Baking交联。
虽然印刷工艺存在这个和那个的不足,但是这个一个新生技术必须走过的一个阶段,即便是现在大行其道的LCD技术在其工艺的初期亦面临众多工艺挑战。
笔者坚信随着设备厂商和生产厂商的共同努力,印刷制程在AMOLED或光制QD的运用上会有自己一片广阔的空间。
责编:树懒
来源:OLEDindustry





陕公网安备 61019002000416号

业务咨询