【科普】未来显示基石 -- 国内印刷显示技术
摘要:随着中国十三五的推出和中央对中国制造2025关注的逐渐增强,中国显示面板产业几年逐步增加了投资,并渐渐地进入快速成长期。
随着中国十三五的推出和中央对中国制造2025关注的逐渐增强,中国显示面板产业几年逐步增加了投资,并渐渐地进入快速成长期。京东方、华星光电、天马、信利和和辉电等国内显示面板制造和生产的龙头企业在投资建立数条OLED生产产线的同时,为了突破海外的技术壁垒和实现产业链的升级,各企业和单位也逐渐增加了对下一代显示技术研发的投入。从发光材料和机理而言,下一代显示技术的争夺点聚焦在OLED和QD-LED上。而从制作工艺而言,由于传统FMM技术的局限,各厂商对印刷方式制作Display的工艺兴趣亦越发浓厚。
印刷OLED工艺主要是以印刷方式制作OLED器件。因为技术限制,现阶段并不能实现全器件的印刷制作。现有印刷OLED工艺仅指以印刷的方式制作功能层,如空穴/电子传输和EML等。电极依然以蒸镀方式制作。
本文主要对印刷OLED中印刷制成的基本原理进行基本的解读。所有引用材料均来源于公开报道和海外公开发表资料。
Pros& Cons
和FMM工艺相比,Inkjet工艺从理论上来说有以下优点:
材料利用率高:在传统OLED蒸镀工艺中,若不考虑OLED蒸镀材料的回收使用,材料利用率在5%-20%左右。而若OLED以DOD印刷工艺制作,其材料利用率理论上可以达到90%,甚至100%。
更低的成本: 不仅仅较高的利用率可以大幅度降低生产成本,通过Printing方式在兼容玻璃基板制作工艺时,其亦可以采用R2R等方式用更低的成本生产更大尺寸的Display。
更多的运用场景: Printing 工艺能更好的兼容柔性和曲面显示场景运用的需要,能进一步促进显示市场,如VR和AR等产品的发展。
就现有报道来看,国内走在印刷显示技术研究前列的公司为京东方和广州聚华显示(TCL华星光电控股)。而对印刷显示展开研究的高校有苏州纳米材料研究所、华南理工大学、上海交通大学和福州大学等。比较成熟的研发机台有Jetlab和Fuji等,而美国Kateeva公司基于其之前的薄膜封装的经验制作的打印机更加贴近于商用生产。
InkjetPrinter分类
现有印刷技术主要关注在Inkjet方向上。根据Jetting方式不同,印刷技术分类如图2所示且常见的CIJ和DOD印刷机理如图3所示。在印刷OLED中以Piezoelectric型喷头比较常见,在实验室中也有用Thermal型的喷头。两种喷头的优缺点如表1。
Piezoelectric型打印机分类
在商用Piezoelectric 打印机中根据压电陶瓷的不同可分为四种,其中Squeeze Mode 可以视为Shear Mode 的一种亚类(现在对打印机分类比较模糊,对商用打印机的分类一般为4 类,而在对工业用打印机上分类一般为3 类)。在ShearMode 工作模式下,根据喷头内部腔体结构的不同,又再进一分为Open-end 和Close-end。常见的Shear 模式下工作的喷头有Fujiflim 的SW 和SX 系列。
PiezoelectricInkjet 出墨原理
印刷墨水要求
墨水按照力学性能分可分为牛顿流体和非牛顿流体。对于聚合物墨水而言,其流动性质为非牛顿流体。墨水稳定出墨时,墨水可印刷性涉及3个主要衡量参数:雷诺数Re(ReynoldsNumber)、韦伯数We(WeberNumber)和奥内佐格数Oh(Ohnesorgenumber),其中Oh数有时也以Fromm 参数Z来进行表示:
其中a为喷头直径。
其中一般认为对于印刷用的墨水而言,其Z值需要在1-10之间:
若Z<1, 则不会出墨水;
若Z>1,则会造成散点和卫星点。
Z值是一个经验型数值,且在某些例子中,Z<1和Z>14时喷头也可以出墨。
Acoustic出墨机理
在常见的桌面打印机,其原理结构可以被Herman Wijshoff2简化为图7所示。
Herman Wijshoff2 认为在喷墨时,墨水在腔体内的运动可以简化为Long Channel模型且该过程存在以下4个阶段:
压电陶瓷在伏电压向外鼓出并扩展墨水挤压腔的体积,在该过程中从喷头向内不下产生一个内向波;
该波形在墨水挤压腔后部进行反射;
在反射波到达压电陶瓷部位时,对压电陶瓷施加正压并压缩墨水挤压腔体积。该步骤主要目的是将反射波放大;
反射波到达喷嘴后将墨水挤出。
该过程可被简化为图 8。
Helmholtz Resonance出墨机理
在印刷电子工业上用的打印机结构和一般商用型打印机结构不同。在该种结构下,波在喷头内的传导和出墨原理可以用亥姆霍兹共鸣器(Helmholtz Resonance)模型来解释。 最原始的亥姆霍兹共鸣器(HelmholtzResonance)为一两端有瓶颈通道开口,而中部存有腔室的器具(图9)。该器具可以在削弱其他声波的同时,对特定频率的声波起到谐振放大效果。理论上亥姆霍兹共鸣器为由理想刚体建立起来的一刚性腔体和一刚性通道的密闭空腔。刚性的空腔就叫做“亥姆霍兹共振腔”,在空腔的表面开一个面积相对于空腔表面积很小的孔,在孔上插入一根空心刚体管道,组成的结构就称为“亥姆霍兹共鸣器”。对于一个亥姆霍兹共鸣器而言,当其内部空气受到外界波动的强制压缩时(无论强制力施加于空腔内的空气还是管道内的空气,施加的外力是来自声波还是腔体振动),管道内的空气会发生振动性的运动,而空腔内的空气对之产生恢复力。此时该共鸣器可以视作一个弹簧,且对施加作用的波动有共振现象。
墨水分布和成膜
墨滴的尺寸
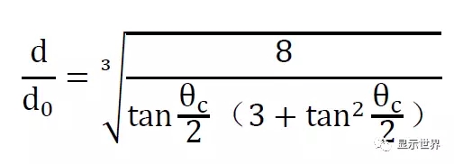
在持续的印刷中,单点墨滴在合适点间距下连续重复形成线段。印刷线段的线宽主要受制于2个主要因素:基板上单点墨滴的直径与墨滴之间的点间距。印刷线段线宽不会小于单个墨滴的直径并随着点间距的减小逐渐变大。单点墨滴的直径可以通过一系列静态公式估算而来。在墨水挤出喷口时,设其为球形且体积为V而直径为d0,其后在基板上形成接触角为θc和直径为d的墨滴(d<κ-1)。在此默认条件下墨滴在表面上为球缺,且分布前后体积不变。则有6,8,9,20:
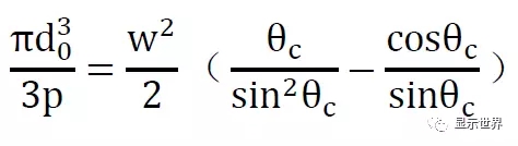
当以点间距为p印刷线段,若印刷线段形貌为圆柱型、印刷线段无挥发现象且接触角不变,则印刷线宽w的线段满足下列关系:
因为w 最小不能小于d,则在w=d 时点间距p 为最大值pmax,此时:
墨水的成膜
印刷表面较为粗糙甚至布满其他器件结构,往往导致墨水分布不均。且该现象无法通过调节墨水和基板自身的表面张力进行改善。常规做法为采取在PDL 层上进行图案化处理制作Bank 方式对墨水分布进行优化与约束。Bank可以通过压印或者常规的涂布光刻胶后再进行曝光显影方式制作。Bank 只需将墨水限定在像素区域,其形貌没有特定要求。京东方在早年对印刷显示研究时对Bank 形貌的中国专利进行了大量的布局。
墨水在Bank 内的流动主要取决于墨水和基板地面的浸润性。若墨水为小分子结构或存在纳米颗粒(如QD),则在墨水干燥过程中容易出现咖啡环现象。严重时该类缺陷容易导致点亮后形成Mura 和甚至是像素短路。
作者:李耘,TCL印刷OLED研发工程师。
责编:树懒
来源:显示世界





陕公网安备 61019002000416号

业务咨询